
近日,2138cc太阳集团官网入口媒介昆虫研究团队以2138cc太阳集团官网入口为第一完成单位在昆虫学权威期刊Entomologia Generalis发表了题为“Spirotetramat- and thiamethoxam- induced sublethal effects on tomato chlorosis virus transmission by Bemisia tabaci MED”的研究论文,代惠洁副教授为论文第一作者。该研究发现烟粉虱携带病毒后对螺虫乙酯和噻虫嗪的敏感性降低,且其寄主偏好性发生改变,为田间设施蔬菜病毒病的防控提供了新思路。
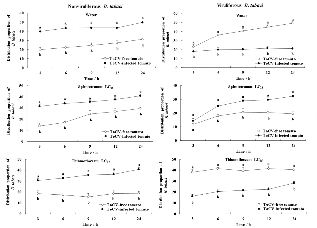
烟粉虱Bemisia tabaci (Gennadius)属半翅目 Hemiptera 粉虱科 Aleyrodiaae,是一种世界范围内大发生的高度杂食性“超级害虫”,给农业生产带来极大的经济损失。生产中通过施用杀虫剂控制烟粉虱种群数量,但不能有效控制病毒病的发生。本研究模拟田间用药后低致死浓度杀虫剂对烟粉虱传播植物病毒效能的影响,并进一步明确杀虫剂和植物病毒对烟粉虱寄主选择行为的联合作用。结果发现,烟粉虱携带病毒后对螺虫乙酯和噻虫嗪的敏感性显著降低,低致死浓度杀虫剂对烟粉虱获毒力无显著影响,但显著提高了烟粉虱传毒能力,且螺虫乙酯改变了带毒烟粉虱的寄主偏好。该研究丰富了媒介昆虫与植物病毒的互作理论,为田间有效防控番茄褪绿病毒病提供了新的见解。
个人简介:
代惠洁,博士,副教授,山东农业大学专业硕士研究生导师。毕业于山东农业大学植物保护公司农业昆虫与害虫防治专业,主要从事植物病毒与媒介昆虫互作及害虫生物防治研究。先后主持山东省重点研发计划“烟粉虱传播的番茄褪绿病毒病生物防控关键技术研究与应用”、山东省农业重大应用技术创新项目子课题“茄果类蔬菜新发重要病毒病绿色防控技术研究与应用”、潍坊市科技发展计划项目“设施黄瓜吸汁性害虫预测预报及绿色精准防控关键技术研究”等项目10余项;在《Entomologia Generalis》、《Journal of Pest Science》、《PLOS ONE》、《植物保护学报》、《中国农业科学》等国内外刊物上发表文章20余篇,其中SCI论文6篇;获市厅级以上奖励4项;制定山东省农业地方标准2项;积极发挥专长,助农兴农,长期与多家公司开展合作,提供技术服务。